4 年
手机商铺
公司新闻/正文
577 人阅读发布时间:2025-05-20 16:14
吸烟是全球范围内导致可预防死亡的主要因素,每年约夺去800万人的生命。吸烟已被证实与50多种疾病密切相关,包括心血管疾病、肺癌和痴呆等。传统评估吸烟的方法(如自我报告的问卷和常用的短效ni古丁生物标志物可替宁)存在回忆偏差、无法区分被动吸烟或反映长期吸烟暴露等局限性。DNA甲基化(DNAm)作为一种表观遗传标记,能够客观反映吸烟的累积效应以及戒烟的时间长度。然而,其在血液和脑组织中的特异性及在整个基因组范围内的关联性,仍有待深入研究和探索。

文章信息
研究方法
组织样本:血液(全队列)和脑组织(LBC1936,5个脑区,n=14)样本队列;
结果展示
该研究纳入了17,865名(GS)志愿者(平均年龄47.6岁,59.1%为女性)进行了吸烟的EWAS分析,揭示了DNA甲基化可以解释50.0%吸烟包年表型的变异。同时鉴定出42个与吸烟相关的独立CpG位点(PPI>80%),其中26个关联的PPI>95%。首次在EWAS目录中报告了9个PIP>80%和2个PIP>95%的新关联位点,这些新发现的位点包括与神经发育相关的基因间CpGs,高置信度关联包括cg02517189(GRIN3C)和cg00562553(HOXA4)。
这项研究提供了吸烟对DNA甲基化影响的全面图谱,并确认了一些新的生物学相关性。

图1. 项目概述
该研究使用了来自三个英国队列的数据:Generation Scotland, GS,n=17,865;Lothian Birth Cohort 1936,LBC1936,n=896;Avon Longitudinal Study of Parents and Children,ALSPAC。

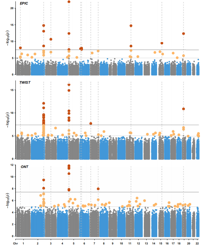
图2. GS数据中吸烟者与从未吸烟者的全表观基因组关联研究(EWAS)(n=23对)
以上为Illumina EPIC阵列(约850K个CpG位点)、TWIST人类甲基化面板(4M个CpG位点,靶向短读测序)和牛津纳米孔技术测序(21M个CpG位点,长读测序)获得的DNA甲基化数据。

图3. 吸烟表观遗传生物标志物(mCigarette)的预测性能。
曲线下的面积(AUCs)代表模型区分以下吸烟类别的能力:蓝色表示当前吸烟者与从未吸烟者的对比,橙色表示当前吸烟者与前吸烟者的对比,绿色表示前吸烟者与从未吸烟者的对比。
该研究主要讨论了不同组织中特定DNA甲基化位点对吸烟状态的关联性。研究发现,某些位点在大脑和血液中能有效区分吸烟状态,但这些位点在不同组织间并不重叠。例如,cg05575921在血液中是一个可靠的吸烟状态标记,但在海马体中无效;而cg2681592在海马体中与吸烟状态有强关联,但在血液中则不显著。这表明吸烟引起的DNA甲基化变化具有组织特异性。

图4. 不同自我报告吸烟类别的血液和脑组织中CpG甲基化水平。
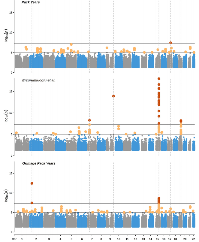
最后,对自我报告的吸烟和表观遗传学吸烟进行了全基因组关联研究(GWAS)。基于GrimAge DNAm包年的GWAS分析发现了39个与吸烟显著相关的SNP位点,其中一些位点与ni古丁依赖和肺癌相关。这些结果表明,表观遗传吸烟标记可能比自我报告吸烟更能检测到显著的遗传位点。

图5. 吸烟相关全基因组关联研究(GWAS)之间的曼哈顿图。
研究的表型及匹配数据来自英国生物银行(n = 337,205)、基因组苏格兰(n = 17,105)以及基于GrimAge的DNA甲基化吸烟量估计值(n = 14,568)。
总结
多组学研究选择艾斯基因

多组学服务平台
艾斯基因全面构建多组学服务平台,涵盖表观组学、转录组学、蛋白质组学以及代谢组学等优质产品,提供高水平的检测技术、高质量的数据产出、高专业度的服务答疑以及高性价比的方案设计。

针对人群队列,艾斯基因重磅推出【EWAS-10K计划】,赋能甲基化队列研究,提供完整解决方案!为EWAS研究提供全基因组高通量测序法(WGBS、RRBS)和甲基化芯片法(935K),靶向区域的甲基化验证法(TBS、焦磷酸测序等)。
